van Marle 2007 rapid rotating progenitor enviroment
主要内容:
精彩摘抄:
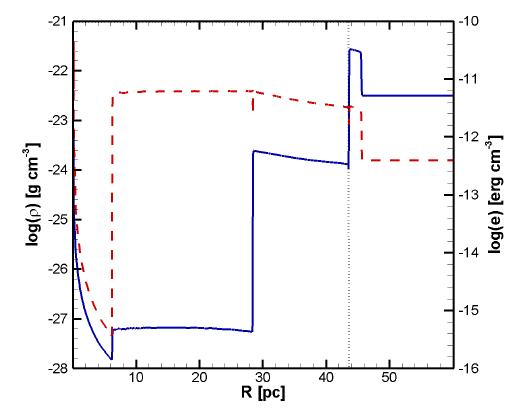
we find a strong deviation of the circumstellar density profile in the polar direction from the 1/R^2 density profile normally associated with stellar winds close to the star.
Solid: mass density; dashed: energy density
文章信息:
- arXiv:0711.4807 [ps, pdf, other]

没有评论:
发表评论